Whatsapp »
+507 6847-7001
fincas

Finca de produccion de mango organico para exportacion -

Venta de fincas en Penonomé
Contactar a InmoPanama
¡Respuesta en minutos!
Anuncio Vencido.
Encuentre la finca perfecto para usted.
Deje en nuestras manos la búsqueda de su finca.
Consultas por Whatsapp las 24hs:
+507 6847-7001
Ver fotos »
¿Quieres ver propiedades similares a esta? Tenemos propiedades con las mismas caracteristicas.
Precio:
Consultar
Tamaño:
10000m²
¡Aprovecha nuestros descuentos especiales!
Compra ahora y financia facilmente
Pago inicial:
$ *.***
Letra quincenal:
$ ***
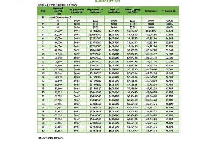
Finca de produccion de mango organico para exportacion - Por qué invertir en tierras de cultivocon miles de millones gastados en la expansión del canal de panamá y miles de millones más invertidos en la infraestructura social del país, existen inmensas oportunidades de crecimiento en el país, y su industria agrícola todavía está en su infancia, lo que brinda una excelente oportunidad para la inversión. la tierra se ha apreciado anualmente a una tasa del 10% en panamá durante muchos años, y solo el 4% de las tierras cultivables del país se encuentra actualmente en desarrollo, lo que brinda muchas oportunidades de crecimiento.agvisors maneja las operaciones diarias para todas las fincas de inversionistas, utilizando la última tecnología de irrigación y las técnicas de "permacultura" para optimizar la sostenibilidad y la eficiencia. agvisors tiene más de 20 años de experiencia en el manejo de operaciones agrícolas a gran escala. su visión es maximizar las ganancias para los inversionistas mientras cuidan la tierra y el medio ambiente.el modelo de negocio / cómo funciona la inversiónobtienes la propiedad del título completo de la tierra, lo que te permite enumerarla y venderla en cualquier momento, como lo harías con cualquier otra propiedad, y la inversión está respaldada por la tierra real que compraste.la tierra es desarrollada y administrada por expertos de la industria. puede elegir entre una variedad de cultivos únicos para plantar, cada uno con su propio ingreso anual proyectado. la inversión proporciona una participación de 70/30 en las ganancias, por lo que el cliente obtiene el 70%, mientras que el 30% regresa para pagar el desarrollo de la tierra.todos los cultivos se desarrollan como productos orgánicos certificados por el usda, que son mejores para el consumidor, el medio ambiente y el valor a largo plazo de la inversión. las técnicas de agricultura orgánica sostenible significan un ingreso sostenible a largo plazo para el inversionista.varios cultivos disponiblesuna amplia variedad de cultivos están disponibles para que los clientes los planten en sus tierras. cada uno de estos cultivos tiene sus propias ventajas únicas en la rentabilidad. entre otros, se encuentran cultivares únicos de limas, plátanos, piñas, mangos, plátanos y aguacates. vea las figuras a continuación para un análisis detallado del potencial de ganancias a 30 años para cada uno de estos cultivos.las ventajas de la inversión en tierras de cultivola inversión en tierras agrícolas produce altos rendimientos con un bajo riesgo para el inversor. este es un tipo de activo que atrae a los inversionistas que desean obtener un buen rendimiento de su inversión pero sin el riesgo de perder el capital que invierten.con una apreciación promedio del 3.5% anual en los últimos 30 años en panamá, las tierras agrícolas han estado creciendo en valor a un ritmo constante. además, la creciente población mundial está aumentando la demanda de tierras de cultivo incluso a medida que la oferta se reduce debido a la expansión del desarrollo urbano.se espera que la población mundial alcance más de 9 mil millones para 2050. se estima que tendremos que producir tanta comida en los próximos 40 años como lo que el mundo ha producido en los últimos 10,000 años combinados. como resultado, las tierras agrícolas solo aumentan de valor a medida que pasa el tiempo.¿por qué invertir en la agricultura orgánica?la agricultura orgánica produce menos gases de efecto invernadero y ahorra energía, por lo que es bueno para el planeta. también conduce a una mejor calidad del suelo, lo hace más sostenible, y conduce a una mejor salud general para el consumidor debido a la reducción de pesticidas y productos químicos. esto ha llevado a un mercado de alto crecimiento con una demanda cada vez mayor, lo que significa mejores rendimientos para los inversores. por ejemplo, el mercado de aguacates orgánicos creció un 31% solo en 2016.¿por qué invertir con nosotros?una empresa de gestión líder en el mundo, agvisors, estará allí para desarrollar y administrar su tierra utilizando todas las mejores prácticas agrícolas disponibles en la actualidad. estarán a su lado para ayudarlo en todo, desde la instalación de la infraestructura hasta el crecimiento de sus cultivos seleccionados en un invernadero de 20 acres, a plantar, cosechar y vender estos cultivos a mercados locales y extranjeros. tienen décadas de experiencia y una reputación de proporcionar productos más saludables y mejores al consumidor a través de prácticas más sostenibles que aseguran tanto el futuro de la inversión como nuestro planeta.aguacates orgánicos orgánicosesta es una oportunidad de inversión en tierras agrícolas donde los inversionistas son dueños de la tierra y de todos los activos subyacentes. como ejemplo, un cultivo que los inversionistas pueden cultivar en sus tierras son los aguacates orgánicos certificados. este cultivo en particular proporciona una tasa interna de retorno de 16 años del 16.53%. el rendimiento anual de la inversión alcanza el 21.25% después de cinco años y casi el 50% para el año 20. los aguacates están experimentando una demanda cada vez mayor, en particular los aguacates orgánicos han experimentado un crecimiento masivo en los últimos años. desde 2010, la industria del aguacate ha crecido un 11% por año, un hecho que ha convencido incluso a oprah winfrey a comprar una granja. y lo mejor de todo, los aguacates son increíblemente saludables, ricos en vitaminas y ricos en grasas saludables que reducen el colesterol.
Ubicacion:
Penonomé
Fincas » Panamá » Coclé » Penonomé
¿Quieres ver propiedades similares a esta? Tenemos propiedades con las mismas caracteristicas.
Bienes raices Penonomé
Fincas en Penonomé
Enviar propiedades
Actualmente encontramos 7 propiedades.
Escribe el Whatsapp donde quieres recibirlas: